手機/微信一:15524700779
手機/微信二:13654200914
QQ客服一:暫無
QQ客服二:暫無
鋁合金等溫擠壓的主要方法與關鍵技術
關鍵詞: 鋁合金等溫擠壓…
摘 要:本文簡要地論述了鋁合金等溫擠壓的特點,技術效果,較詳細介紹了鋁合金擠壓過程的溫度變化及實現等溫擠壓的主要方法與關鍵技術措施。
關鍵詞: 鋁合金等溫擠壓;擠壓時溫度變化;實現等溫擠壓的主要方法與關鍵技術
1. 鋁合金等溫擠壓的特點與技術效果
根據鋁合金的種類和性能特點,開發應用等溫擠壓技術的效果,主要體現在兩個方面:
一是對于可擠壓性優良的鋁合金,如1xxx系、3xxx系、6xxx系合金,由于可擠壓速度范圍寬,采用等溫擠壓不但可以確保產品流出模孔時溫度基本保持恒定,改善和提高產品組織性能沿長度方向的均勻性,而且有利于采用更高的速度進行擠壓,提高擠壓生產效率。
二是對于可擠壓性差的合金,如2xxx系合金、一部分5xxx系合金和大部分7xxx系合金,由于熱塑性較差、應變速度敏感性高、熱裂傾向性較強,只能在很低的擠壓速度條件下擠壓,才能確保產品性能沿長度方向的均勻性,減少裂紋等缺陷的產生,也是采用等溫擠壓的主要目的。此外,由于該類合金擠壓溫度低,金屬變形抗力大,等溫擠壓有利于減少擠壓負荷,實現大斷面、長尺寸產品的生產;有利于保持模具在加壓過程中受力不變,提高產品形狀與尺寸精度沿長度方向的均勻性。
等溫擠壓過程實質上是熱流在擠壓中保持平衡的過程。影響擠壓過程中熱流的主要因素包括合金種類、坯料尺寸和溫度、擠壓筒和擠壓模溫度、擠壓比和擠壓速度等,研究這些因素對擠壓過程熱平衡的影響規律,是實現等溫擠壓的重要基礎。
2. 擠壓過程中的溫度變化
如上所述,擠壓過程中塑性變形功和摩擦功(正擠壓時)的大部分轉化為熱,導致坯料的溫度上升。另外,由于工模具的導熱作用,擠壓筒內坯料(含變形區)的溫度有下降的趨勢。擠壓產品在出模口處的實際溫度,取決于坯料加熱溫度、擠壓筒加熱溫度、擠壓比、擠壓速度、合金的性質、摩擦與潤滑條件、擠壓模的預熱溫度與冷卻條件等因素的綜合作用效果。
確定擠壓過程中模孔附近的溫度變化,主要有實測法和理論預測法。
2.1實測法
實測法主要有熱電偶測溫法與紅外測溫法兩種。熱電偶測溫法的優點是可以測量非常靠近模孔定徑帶表面處的溫度變化,并可對同一模孔的不同部位同時進行測量,測量精確度較高(誤差在0.5%-1.5%的范圍內);其缺點是響應速度比較慢,不適合于測量高速擠壓時的溫度變化,用于溫度閉環控制的實時測溫時,難以獲得理想的控制效果。
紅外測溫可以獲得較高的響應速度,但存在精確度較低(誤差可以達到3%-5%甚至更高),易受環境(水霧、熱氣、污垢等)的影響,測量過程中穩定性較差等缺點。此外,由于擠壓設備與工模具結構的特點,紅外測溫法所能測量的位置受到較大的限制,一般只能測量距模孔出口處較遠位置的產品表面溫度。
2.2理論預測法
2.2.1解析式計算法
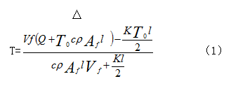
理論預測法又有解析式(理論、經驗或半經驗式)計算法與數值分析法兩種,解析式計算法主要用來預測出模孔處產品的溫度(或溫升),式(1)為擠壓過程中模孔附近溫度上升值的理論模型之一

式中,△T為產品擠出溫度與擠壓模初始溫度之差℃;Af為產品斷面積cm2;為錠坯長度cm;Q為擠壓模附近塑性變形區內產生的熱量J;K為經由擠壓筒和擠壓模的熱流系數J/(s·℃);To為初始坯料溫度加上剪切變形(擠壓筒內壁)所產生的溫升,再減去擠壓模初始溫度所得之值℃;Vf為產品流出速度cm/s;c為變形金屬的比熱容J/(g·℃);為變形金屬的密度g/cm3。
式(1)在實際使用中存在較大的不便,因為Q和To的計算比較復雜。實際計算時,Q可以通過計算塑性變形區的變形功,然后假定變形功的85%-90%轉化為熱量來求得;計算To的關鍵是要計算出坯料與擠壓筒摩擦所導致的溫升。
2.2.2 數值分析法
采用差分法、有限元法進行數值分析,比較容易預測變形金屬內部的溫度分布,是較為廣泛應用的方法。圖1為6005鋁合金空心型材擠壓時溫度分布的FEM數值計算結果。由圖可知,由坯料后端沿擠壓方向至分流模入口金屬溫度逐漸升高,形成80℃以上的溫度梯度。擠壓筒內坯料后端溫度較低(395℃),是由于計算過程中假定墊片的初始溫度為30℃,墊片對坯料后端產生了較大冷卻作用所致。這種情況在墊片無預熱,擠壓生產循環數較少時是可能存在的。隨著擠壓循環數的增加,如不對墊片施加冷卻,則墊片的溫度逐漸升高,然后穩定在200-300℃左右。顯然,圖1是采用穩定生產、無冷卻措施條件下的墊片溫度進行計算,所得擠壓筒和模具內的溫度分布結果。

圖1 空心型材分流模擠壓溫度分布的 FEN數值計算結果
擠壓條件:6005A合金,錠坯溫度500℃;擠壓筒直徑:f320mm,擠壓筒溫度:440℃;
擠壓軸速度:2mm/s;墊片的初始溫度:30℃;擠壓比l=28.8;分流比K=9.8
圖1的結果表明,如在每一個擠壓操作前均對墊片進行冷卻,則可以簡單地使擠壓筒內的坯料產生較高的溫度梯度,從而有利于抑制擠壓產品的溫度上升。
3. 實現鋁及鋁合金等溫擠壓的主要方法與關鍵技術施
實現鋁及鋁合金等溫擠壓的方法有多種,其中主要的方法大致可以分為四類,見表1。
第一類方法是通過改變坯料沿長度方向的溫度分布,補償(抵消)因變形熱導致的溫度上升或因工模具的冷卻作用導致的溫度降低,可稱為坯料梯溫擠壓法。這類方法主要包括坯料梯溫加熱法和坯料梯溫冷卻法,具有方法簡單、易于實現等優點,但存在調控范圍較小、精度較低等缺點,關鍵技術是坯料在線控溫。
第二類的關鍵是通過控制工模具溫度,保證模孔附近變形區內金屬以及產品流出模孔時溫度基本不變,可稱為工模具控溫擠壓法。這類方法主要有擠壓筒分區加熱法、擠壓筒分區冷卻法、模具冷卻法和墊片控溫法,具有可控能力強、控制精度高等優點,但存在工模具結構復雜(墊片控溫法除外)、控制難度大等缺點。近年來,東航電熱電器廠研制開發成功鋁合金擠壓筒智能高效長壽命節能直插式金屬管電熱器,為實現鋁擠壓筒梯度加熱,從而實現等溫擠壓創造了有利條件。
第三類方法的關鍵是通過對影響擠壓過程溫度(熱流)平衡的各個工藝參數進行綜合優化,達到使產品流出模孔時的溫度基本保持不變的目的,可稱為工藝參數優化控制等溫擠壓法。該方法的優點是可以在坯料均勻加熱、擠壓速度恒定的條件下實現等溫擠壓,工藝簡單,但存在可實現等溫擠壓的參數匹配條件有限、不利于可擠壓性好的合金獲得盡可能高的擠壓速度等缺點。
第四類方法的關鍵是通過控制擠壓速度使型材擠出模孔時溫度基本保持不變的方法。速度控制等溫法又分為兩種:速度模型控制法和速度在線閉環控制法。
速度模型控制法是建立擠壓過程溫度-速度模型,通過程控方法對速度進行控制,使擠壓過程中產品流出模孔時的溫度基本保持不變,可稱為模擬等溫擠壓法。該方法的優點是控制方法簡單,易于實現,可以獲得高于第一類方法的控制精度;缺點是正確的模型建立難度大,難以應對擠壓過程中工藝參數與邊界條件的實際變化,需要大量的經驗數據積累。
速度在線閉環控制擠壓法是通過檢測產品在模孔出口處的溫度變化,在線調節相關工藝參數,即實現溫度-速度在線閉環控制。該類方法是理想的等溫擠壓方法,可以獲得較為理想的控制效果,但實現難度較大,難以應對擠壓過程中工藝參數與邊界條件的實際變化,需要大量的經驗數據累積,對技術與工藝裝備的要求較高。
4. 結束語
鋁及鋁合金等溫擠壓是一種先進工藝技術,可大大提高產品的組織、性能、尺寸均度性,提高成品率,同時也可提高擠壓速度,從而大大提高生產效率。與一模多出技術一樣可在不增加生產規模(產能)的情況下,大大提高產量(生產效率)的措施之一,應大力推廣應用。實現鋁合金等溫擠壓的方法很多,應根據不同條件、不同合金品種進行優選。
5. 主要參考文獻
(1)謝建新,劉靜安著,金屬擠壓理論與技術,[M].北京,冶金工業出版社,2012
(2) 劉靜安,輕金屬擠壓工模具手冊,[M].北京,冶金工業出版社,2012
(3)劉靜安,劉佩成,王益龍,鋁合金鑄錠擠壓前預熱技術的發展與進步,[J]。有色金屬加工,2015.N01,P9
(4) 項勝前等,先進技術與裝備一體化的等溫擠壓師范生產線,[J].輕合金加工技術,2011.N03,P23
(5)黃志其,尹志明等,鋁合金等溫擠壓技術與裝備研究,[J].Lw2010鋁型材技術(國際)論壇文集,2010.廣州
(6)季法生、許建平、季五官、劉靜安,SR-200A新型智能擠壓筒溫控系統研究,[J],鋁加工,2017,N06

















